Nanosized T1 MRI Contrast Agent Based on a Polyamidoamine as Multidentate Gd Ligand
Abstract

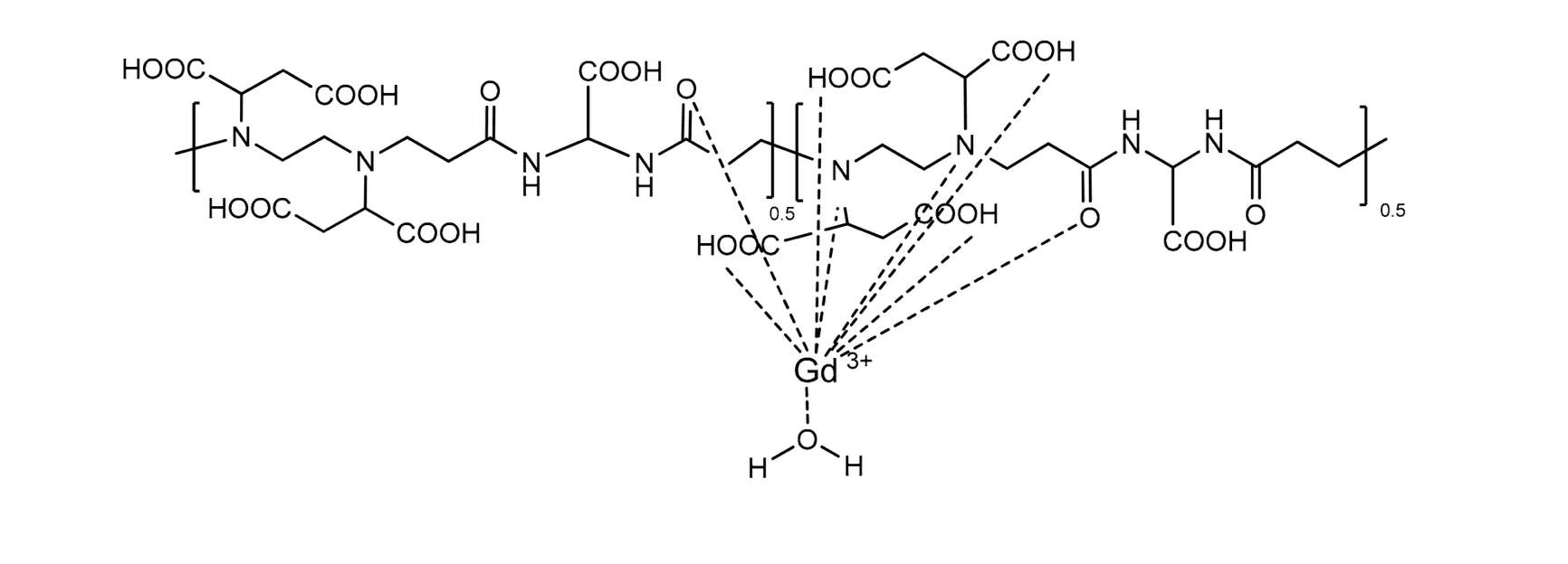
A linear polyamidoamine (PAA) named BAC-EDDS, containing metal chelating repeat units composed of two tert-amines and four carboxylic groups, has been prepared by the aza-Michael polyaddition of ethylendiaminodisuccinic (EDDS) with 2,2-bis(acrylamido)acetic acid (BAC). It was characterized by size exclusion chromatography (SEC), FTIR, UV–Vis and NMR spectroscopies. The pKa values of the ionizable groups of the repeat unit were estimated by potentiometric titration, using a purposely synthesized molecular ligand (Agly-EDDS) mimicking the structure of the BACEDDS repeat unit. Dynamic light scattering (DLS) and zeta-potential analyses revealed the propensity of BAC-EDDS to form stable nanoaggregates with a diameter of approximately 150 nm at pH 5 and a net negative charge at physiological pH, in line with an isoelectric point <2. BAC-EDDS stably chelated Gd (III) ions with a molar ratio of 0.5:1 Gd (III)/repeat unit. The stability constant of the molecular model Gd-Agly-EDDS (log K = 17.43) was determined as well, by simulating the potentiometric titration through the use of Hyperquad software. In order to comprehend the efficiency of Gd-BAC-EDDS in contrasting magnetic resonance images, the nuclear longitudinal (r1) and transverse (r2) relaxivities as a function of the externally applied static magnetic field were investigated and compared to the ones of commercial contrast agents. Furthermore, a model derived from the Solomon–Bloembergen–Morgan theory for the field dependence of the NMR relaxivity curves was applied and allowed us to evaluate the rotational correlation time of the complex (t = 0.66 ns). This relatively high value is due to the dimensions of Gd-BAC-EDDS, and the associated rotational motion causes a peak in the longitudinal relaxivity at ca. 75 MHz, which is close to the frequencies used in clinics. The good performances of Gd-BAC-EDDS as a contrast agent were also confirmed through in vitro magnetic resonance imaging experiments with a 0.2 T magnetic field.
Read more… www.mdpi.com/1420-3049/27/1/174

Figura: Structure of the BAC-EDDS gadolinium complex.